官宣!天府生命科技园和成都前沿医学中心企业获得第十一批国采拟中选资格

发布日期:2025-10-31 总浏览:2206

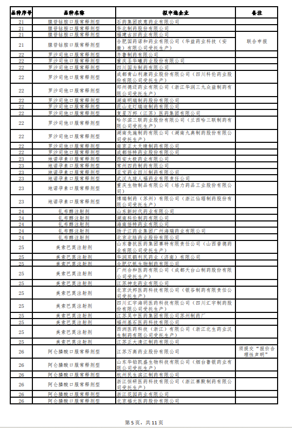
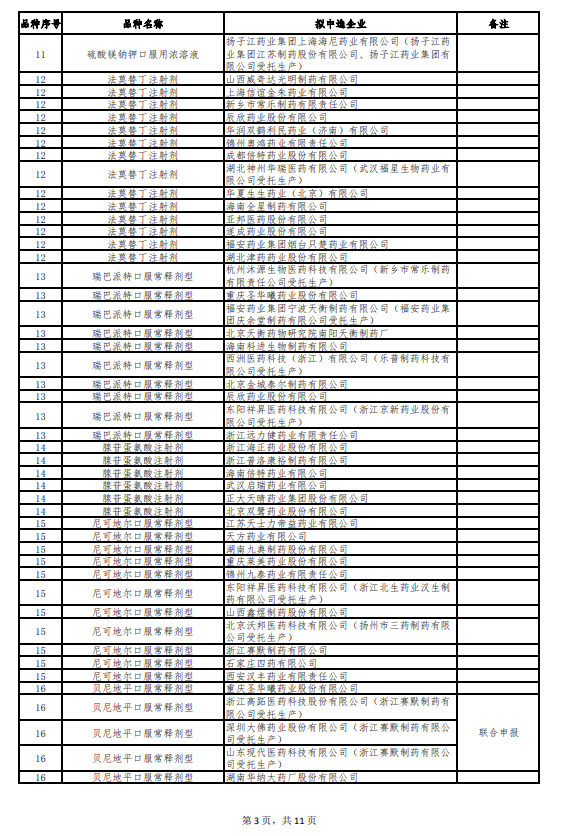
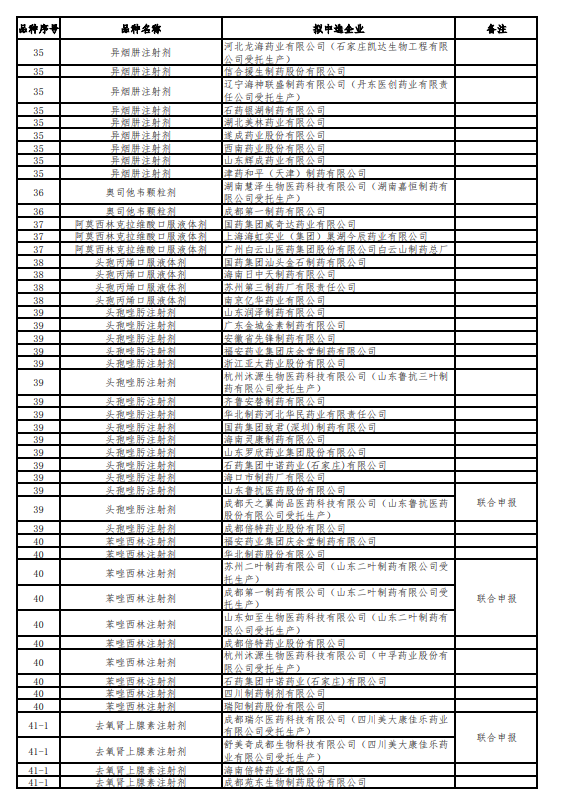
10月28日,第十一批国家组织药品集中带量采购公布中选结果。此次集采共纳入55种药品,覆盖抗感染、抗过敏、抗肿瘤、降血糖、降血压、降血脂、消炎镇痛等领域常用药品。全国共4.6万家医药机构参加报量,445家企业的794个产品参与投标,其中272家企业的453个产品获得拟中选资格。


其中,来自天府生命科技园和成都前沿医学中心的企业——成都倍特药业股份有限公司、舒美奇成都生物科技有限公司、成都米子生物医药科技有限公司获得拟中选资格。


据国家医保局消息,此次十一批国采的中选结果预计将自2026年2月起开始执行。


图片


 以下为官方公布的拟中选结果:


*上下滑动查看

*完整PDF下载地址:

https://dxys.com/DmNkYw

图片
图片
图片
图片
图片
图片
图片
图片
图片
图片
图片




了解更多

根据官方信息,本次集采提出了四大原则:稳临床、保质量、防围标、反内卷,还首次允许医疗机构按具体厂牌填报需求量,同时启动了复活机制。

虽然本次集采提出了反内卷的核心主题思想优化了价差控制「锚点」的选择,不再简单选用最低报价,同时要求企业不低于成本报价,对于低于「锚点价」的企业,需要对报价合理性作出声明,包括制造成本、期间费用、销售利润等。

但是根据这两天网传的报价信息,本次集采部分国产仿制药现场报价的降价幅度仍然较大。相反的是,大多数原研产品价格和此前的挂网价相比,降价幅度并不大。


  • 天府生命科技园

    电话:028-85311525

    地址:成都市高新区科园南路88号

  • 成都前沿医学中心一期

    电话:028-63918917

    地址:成都市高新区新川路2222号

  • 成都前沿医学中心二期

    电话:028-85326166

    地址:成都市高新区新川路2222号

  • 成都前沿医学中心三期

    电话:028-86058168

    地址:成都市高新区新川路2222号西侧

天府生命科技园微信